“研”路漫漫 终见繁花 | 我学院2025届毕业生考研光荣榜!
信息来源:      发布时间: 2025年11月06日 19:15  审核人:  点击次数: 

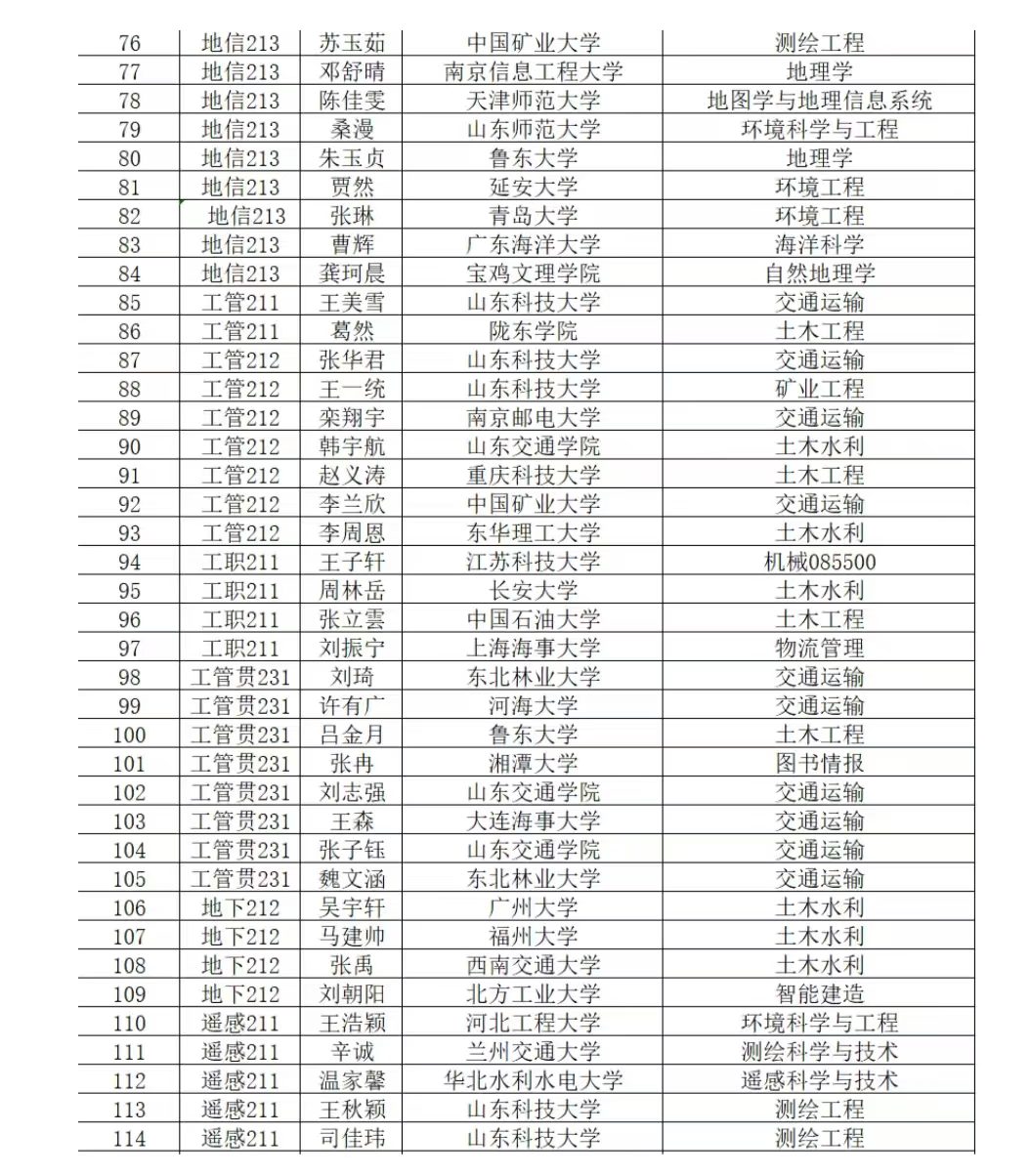
近日,2025年全国硕士研究生录取结果陆续揭晓,我院学子捷报频传。据统计,交通土建工程学院2025届毕业生总人数805人,其中175人考取研究生,考研录取率达21.74%,同比去年增长3.06%。其中考取中国农业大学、西南交通大学、中国石油大学、北京工业大学、长安大学等“双一流”高校61人,占比34.86%,他们以笔为剑,以梦为帆,在激烈的竞争中突破重围。

下面,让我们共同见证这份荣耀,为每一位拼搏的考研人喝彩!

光荣榜

山东交通学院交通土建工程学院 版权所有
地址:山东省济南市长清大学科技园海棠路5001号 邮编:250357 联系电话:(0531)80687901